3-氯溴芐
CAS號:766-80-3
硫代二甘酸二正丁酯
CAS號:4121-12-4
4-異丙基苯酚
CAS號:99-89-8
3-溴苯甲醇
CAS號:15852-73-0
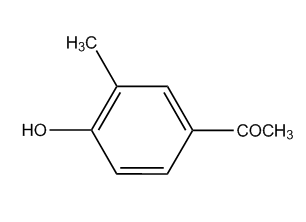
4-羥基-3-甲基苯乙酮
CAS號:876-02-8
4-甲基硫代氨基脲
CAS號:6610-29-3
3-乙基苯酚
CAS號:620-17-7
3-特戊酰胺苯甲醚
CAS號:56619-93-3
3-溴苯甲酸乙酯
CAS號:24398-88-7
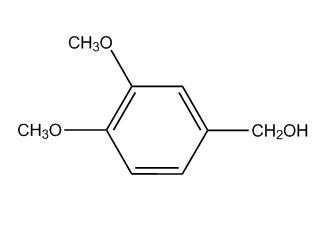
藜蘆醇
CAS號:93-03-8
4-氟苯基異硫氰酸酯
CAS號:1544-68-9
異硫氰基乙酸乙酯
CAS號:24066-82-8